Select your language

Suggested languages for you:
StudySmarter - The all-in-one study app.
4.8 • +11k Ratings
More than 3 Million Downloads
Free
|
|
Organic Chemistry

Organic chemistry is a branch of chemistry that deals with the structure, properties and reactions of organic compounds.

Mockup Schule Mockup Schule

Explore our app and discover over 50 million learning materials for free.

Organic Chemistry

Want to get better grades?

Nope, I’m not ready yet

Get free, full access to:

  • Flashcards
  • Notes
  • Explanations
  • Study Planner
  • Textbook solutions
Illustration

Lerne mit deinen Freunden und bleibe auf dem richtigen Kurs mit deinen persönlichen Lernstatistiken

Jetzt kostenlos anmelden

Nie wieder prokastinieren mit unseren Lernerinnerungen.

Jetzt kostenlos anmelden
Illustration
Plastics, petrol, soap, DNA and apples. It seems unlikely, but they all have something in common. All five of the above substances are examples of compounds you'll encounter in organic chemistry.

Organic chemistry is a branch of chemistry that deals with the structure, properties and reactions of organic compounds.

What does this actually mean?

To explore this further, let's first define organic compounds.

What are organic compounds?

Organic compounds are molecules that are made up of carbon covalently bonded to other atoms. They mostly contain carbon-hydrogen and carbon-carbon bonds, which we can represent as CH and CC respectively.

Organic Chemistry, examples of organic molecules, StudySmarterExamples of organic molecules, ranging from simple to complicated, StudySmarter Originals

Take a closer look at some of the substances we mentioned above. For example, let's start with soap. As you'll discover in “Reactions of esters”, soaps are made up of carboxylate salts . The ancient Egyptians made soaps from animal fats and ash, but nowadays we tend to use vegetable oils.

Carboxylate salts are useful molecules. One end contains a carbon atom bonded to two oxygen atoms, while the rest of the molecule is made up of a long hydrocarbon chain . You can probably guess from the name what that is - a long chain made up of CC and CH bonds. This fits in with our definition of organic compounds above.

Now let's look at DNA. DNA is made up of a sugar, called deoxyribose , a phosphate group , and four different bases . We've shown the structure of one of these bases below:

Organic Chemistry, adenine base DNA, StudySmarterAdenine, one of the bases in DNA. StudySmarter Originals

You can see that it contains lots of lines going between carbon and nitrogen atoms. These represent single covalent bonds . Some of these lines are doubled up; these represent double bonds . Bases are therefore organic molecules - and in fact, so is DNA's sugar deoxyribose.

Organic compounds are so named because in the 18th and 19th centuries, people believed that they were only found in living organisms and that they contained a special property that contributed to life. In fact, it was thought that we couldn't make these compounds artificially - they needed a certain 'life-force' that only living organisms possessed. Of course, we now know that this isn't true. We can make many organic molecules in laboratories and they are no different from those found in nature.

In organic chemistry, you'll explore all sorts of different types of organic compounds, from alcohols and amino acids to petrol and polymers. You'll look at how they are made, how they're structured and how their structure influences their properties and reactivity. For example, why is a CC single bond relatively strong and inert, but a C = C double bond so reactive? Why do primary alcohols turn acidic if left exposed to air, but tertiary alcohols remain unchanged? How are large polymers like proteins and plastics structured and why can only some of them be broken down?

The basics of organic chemistry

Although you'll explore lots of the following terms in later articles, knowing the basics of organic chemistry will help you understand what comes up later. Let's go over some of these ideas now.

Atoms, elements, molecules and compounds

You should already know the following terms, but we'll recap them just to make sure:

  • Atoms are the smallest unit of ordinary matter that form a chemical element. They're the fundamental building blocks of all parts of chemistry.
  • An element is a pure substance containing only atoms which all have the same number of protons in their nucleus. Protons are a type of subatomic particle which you should have come across in your study of physical chemistry.
  • If you put two atoms together, you get a molecule . A molecule is two or more atoms chemically bonded together.
  • Molecules made from different elements are called compounds . A compound is simply two or more atoms from different elements chemically bonded together.

Homologous series

There are also a few terms specific to organic chemistry that you should know about, including homologous series .

A homologous series is a group of compounds with the same functional group, general formula and chemical properties.

Let's explore some of those key ideas:

  • A functional group is a part of a molecule or compound that is responsible for the molecule's characteristic chemical reactions.
  • A general formula is a formula used to represent an entire group of compounds. It uses letters such as n to represent varying numbers of atoms.

As mentioned above, compounds in a homologous series have the same chemical properties. This means that they react in similar ways. They only differ by the lengths of their carbon chains.

Organic Chemistry, homologous series example table alkenes, StudySmarterAn example of a homologous series, alkenes. StudySmarter Originals

Formulas

In organic chemistry, you'll come across multiple ways of representing molecules. These are known as formulas.

Formulas are ways of presenting information about the different proportions of atoms that make up a molecule or compound. Some can also show information about the compound's structure and bonding.

Types of formulas include molecular , displayed , structural and skeletal formulas .

Molecular formula is the total number of atoms of each element in a molecule.

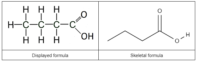
The following table gives some examples of the different types of formulas for an organic molecule, butanoic acid:

Organic Chemistry, types of formulas, StudySmarterA table showing examples of formulas for butanoic acid. StudySmarter Originals

We'll look more closely at some of these types of formulas below.

Nomenclature

Nomenclature is the system we use to name organic compounds. Take 2-chloropropane, for example:

  • -prop- indicates the number of carbons in the molecule's longest carbon chain. This is an example of a root name.

  • -ane shows that the molecule is an alkane.

  • chloro- shows that it contains a chlorine atom as a functional group. In general, prefixes and suffixes show the molecule's functional groups.

  • 2- indicates the chlorine atom's position on the molecule. In general, numbers show the position of functional groups on the carbon chain.

Organic Chemistry, 2-chloropropane nomenclature, StudySmarter2-chloropropane. StudySmarter Originals

Isomerism

Isomers are molecules with the same molecular formula but different arrangements of atoms.

For example, the following three compounds are all isomers with the molecular formula .

Organic Chemistry, isomers, StudySmarterA table showing some of the different isomers of butanoic acid. StudySmarter Originals

Topics within organic chemistry

In organic chemistry, you'll study a variety of topics. These range from alkanes , the simplest of which has just five atoms in total, through alcohols and carboxylic acids . We'll then end with proteins , which are molecules that are thousands of atoms long. Other topics include organic analysis , polymers and chromatography. We've listed them all below:

Let's now look at some of the topics in more depth.

Introduction to organic chemistry

Learning how to represent organic compounds, their structures and their reactions is a fundamental part of organic chemistry. Above, we looked at three isomers with the molecular formula . This formula could represent a range of different molecules - how do we know which molecule we are actually talking about?

In this topic, you'll learn about the different ways of representing molecules, so that we can see their structures more clearly. By knowing about a molecule's structure, we can find its functional groups and predict what sort of reactions it will take part in. For example, you'll learn how to draw displayed formulas and skeletal formulas .

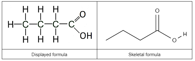
Displayed formula is a molecular representation that shows every atom and bond within the molecule.

Displayed formulas are the easiest way to identify any points of interest on a molecule as they clearly show every single atom and bond - even all the carbon-hydrogen bonds! However, larger molecules appear cluttered and take a while to draw out. This is where skeletal formulas come in handy. They're a much more concise way of representing a molecule.

Skeletal formula is a representation of a molecule that gives a shorthand view of its bonding and geometry. Carbon-carbon bonds are drawn as lines whereas carbon-hydrogen bonds are omitted entirely.

For example, take a look at the displayed and skeletal formulas for butanoic acid.

Organic Chemistry, types of formulas, StudySmarterDisplayed and skeletal formula for butanoic acid. Which is easier to understand? StudySmarter Originals

In this topic, you'll also learn how to name molecules , and how to draw reaction mechanisms . These show the movement of electrons in chemical reactions.

A reaction mechanism is a sequence of step-by-step reactions that bring about an overall chemical change.

Alkanes

Alkanes are probably the simplest type of organic compound. As we mentioned before, the smallest alkane, methane, has just five atoms in total.

Organic Chemistry, methane, StudySmarterMethane. It consists of just one carbon atom and four hydrogen atoms. commons.wikimedia.org

Alkanes are saturated hydrocarbons containing only CC and CH single bonds

You find alkanes in all sorts of products, but most notably in fuel such as gasoline and diesel. In “Alkanes”, you'll not only learn about where we get these hydrocarbons from, but also about how we start turning them into molecules with other functional groups. You see, alkanes are relatively unreactive - their bonds are pretty strong. But through a process called chlorination, we can turn them into halogenoalkanes , which are much more reactive.

Other organic compounds

You'll then go on to look at other types of hydrocarbons and organic compounds. You'll learn how all of their different functional groups make them react in different ways and influence their properties. For example, why do alcohols have much higher boiling points than alkenes? Likewise, why does propylamine have a much higher boiling point than trimethylamine, despite them having the exact same molecular formula and functional group?

The table below gives you an overview of the different hydrocarbons and other organic compounds you'll come across in organic chemistry. You'll explore each of them in more detail in the corresponding topics. You'll then practice creating pathways to move between the different types of organic compounds in "Organic synthesis".

Organic Chemistry, Types of Organic Molecules, Study SmartA table showing the different organic compounds you'll discover in organic chemistry. StudySmarter Originals

Types of organic analysis

What happens when you have a sample of an unknown organic compound and want to find out what it is? Chemists have come up with a range of analytical techniques that help you identify molecules, which you'll explore in "Organic analysis", "NMR spectroscopy" and "Chromatography".

First of all, you could perform some simple test tube experiments. In "Organic analysis", you'll pull together knowledge learned in the previous topics to distinguish alkenes, alcohols and carboxylic acids. You'll expand on this in later topics, too. For example, what can you conclude if orange-brown bromine water decolourises when added to a solution? How about if colorless Tollens' reagent forms a silver mirror deposit?

But sometimes you need to find out the exact structure of a molecule. Ethanol and hexan-1-ol are both alcohols, and so will both react in the same way. However, hexan-1-ol has a chain length three times as long as ethanol's! What about hexan-1-ol and hexan-3-ol? They differ only in the position of their -OH group on the carbon chain. How can we tell them apart? For this, we can use analytical techniques such as NMR spectroscopy .

NMR spectroscopy is a technique used to observe magnetic fields around atoms in a molecule and is used to determine structure.

Other analytical techniques you'll explore include infrared spectroscopy and chromatography .

Biological organic and polymers

In all the previous topics, you'll have dealt predominantly with small molecules, containing only a handful of atoms. But organic chemistry also extends out to include molecules that are thousands of atoms long. In fact, that's where the field originated. In "Biological organic", you'll study proteins and DNA, which we mentioned earlier in this article. Both are biological organic molecules and are examples of polymers .

A polymer is a very large molecule made up of smaller repeating subunits called monomers

You'll look at polymers in general in the topic "Polymers".

Let's explore proteins a little further. Proteins are long chains of smaller molecules known as amino acids . There are 20 naturally-occurring amino acids found in nature, and they are all based on one general structure:

Organic Chemistry, amino acid general formula, StudySmarterThe general structure of an amino acid. StudySmarter Originals

Amino acids are organic compounds that contain two different functional groups: the amine group and the carboxyl group. You'll have learned about these in "Amines" and "Carboxylic acids" respectively. They also contain an R group .

An R group is the shorthand for any variable group of atoms, such as the methyl group or another hydrocarbon chain.

The R groups in a protein's amino acids determine its structure and how it folds. This then determines its shape and function. All the proteins in your body are based on simple organic compounds and their carbon bonds. Likewise, all the DNA that codes for these proteins is based on organic bases; all the sugars and fats in your body, and indeed in the world, are also based on organic structures. Without the field of organic chemistry, we wouldn't exist. Organic chemistry simply aims to explore how the bonding and structure of these organic compounds affect our bodies and our lives.

Organic Chemistry - Key takeaways

    • Organic chemistry is a branch of chemistry that deals with the structure, properties and reactions of organic compounds, which are molecules containing carbon.
    • In 'Introduction to organic chemistry', you'll learn the basics of representing organic compounds in different ways.
    • In organic chemistry, you'll learn about a variety of different organic compounds. These include alkanes, alkenes, alcohols, carboxylic acids and amines.
    • You'll also learn about analytical techniques such as chromatography and NMR spectroscopy.
    • Other topics within organic chemistry include "Organic synthesis" and "Biological organic".

Frequently Asked Questions about Organic Chemistry

Organic chemistry is a branch of chemistry that deals with the structure, properties and reactions of organic compounds, which are molecules containing carbon.

The prefix iso- stands for isomer.

You name organic compounds using nomenclature rules. These include rules concerning prefixes, suffixes, the length of the carbon chain and the position of different functional groups.

Organic chemistry is the study of organic compounds, which make up all living organisms. It is therefore useful in many fields, such as medicine and sports science. However, we also use organic compounds in a range of everyday products. Examples include petrol, shampoo, artificial flavourings and plastics. Organic chemistry is therefore useful for those interested in product manufacture, energy, scientific research and the beauty industry.

Test your knowledge with multiple choice flashcards

Halogenoalkanes are _____ in water.

 State the strongest type of intermolecular force found between halogenoalkane molecules.

Halogenoalkanes have _______ boiling points than alkanes of similar mass.

Next

Flashcards in Organic Chemistry5157

Start learning

What is a halogenoalkane?

An organic molecules formed from an alkane, where a halogen has replaced one or more hydrogen atoms.


State the prefix used to name halogenoalkanes with the following halogen atoms:

  1. Fluorine.
  2. Chlorine.
  3. Bromine.
  4. Iodine.
  1. Fluoro-
  2. Chloro-
  3. Bromo-
  4. Iodo-

What is the difference between primary and secondary halogenoalkanes?

Primary halogenoalkanes have 0 or 1 R groups attached to the carbon atom the halogen is located on, whereas secondary halogenoalkanes have 2 R groups attached to the carbon.

Halogenoalkanes are _____ in water.

Insoluble

 State the strongest type of intermolecular force found between halogenoalkane molecules.


Permanent dipole-dipole forces

Halogenoalkanes have _______ boiling points than alkanes of similar mass.

Higher

Join over 22 million students in learning with our StudySmarter App

The first learning app that truly has everything you need to ace your exams in one place

  • Flashcards & Quizzes
  • AI Study Assistant
  • Study Planner
  • Mock-Exams
  • Smart Note-Taking
Join over 22 million students in learning with our StudySmarter App Join over 22 million students in learning with our StudySmarter App

Sign up to highlight and take notes. It’s 100% free.

Start learning with StudySmarter, the only learning app you need.

Sign up now for free
Illustration

Entdecke Lernmaterial in der StudySmarter-App